Ориентированный
граф называется турниром, если между любой парой его различных вершин
существует ровно одно ребро. Для заданного списком ребер графа проверьте,
является ли он турниром.
Вход. Первая строка содержит
количество вершин n (1 ≤ n ≤ 100) и количество ребер m (1 ≤ m ≤ n * (n – 1) / 2) в графе. Затем
следуют m пар чисел – ребра графа.
Выход. Выведите “YES” если
граф является турниром и “NO” в противном случае.
|
Пример
входа |
Пример
выхода |
|
4 6 1 2 1 3 4 1 2 3 4 2 4 3 |
YES |
графы
Пусть g[101][101] – двумерный
массив. Для каждого ребра графа (i, j) увеличим значение g[i][j] на единицу. Граф
является турниром, если после обработки всех его ребер для любых разных вершин i и j справедливо
равенство:
g[i][j] + g[j][i] = 1
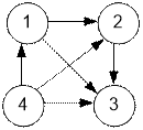
Граф, приведенный в
примере, имеет вид:

Объявим двумерный
массив g.
#define MAX 101
int g[MAX][MAX];
Читаем входные данные. Для каждого ребра (a,
b) увеличим значение g[a][b] на 1.
scanf("%d %d",
&n, &m);
for (i = 0; i < m; i++)
{
scanf("%d
%d", &a, &b);
g[a][b]++;
}
Граф является
турниром, если g[i][j] + g[j][i] = 1 для любых разных вершин i и j. Проверим это свойство. Установим flag = 1 если граф является турниром и flag = 0 иначе.
flag = 1; // OK
for (i = 1; i <= n; i++)
for (j = 1; j <= n; j++)
if ((i
!= j) && (g[i][j] + g[j][i] != 1)) flag = 0;
В зависимости от значения переменной flag выводим результат.
if (flag == 1) puts("YES"); else
puts("NO");